ФотобусАвтобусний транспорт

Статистика по зображенню

349 КБ


Ідентифікатор зображення:2129460
Розмір файлу:349 КБ
Автор:VitalikTTL
Опубліковано:10.02.2019 00:48 MSK
Знаходиться на сайті, днів:2505
Унікальних переглядів:502
Коментарів:0

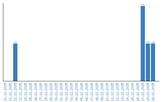
Динаміка переглядів за датами