ФотобусАвтобусный транспорт

Информация об изображении

494 КБ


Идентификатор изображения:2170832
Размер файла:494 КБ
Автор:Илья С.
Опубликовано:16.04.2019 22:32 MSK
Находится на сайте, дней:2597
Уникальных просмотров:584
Комментариев:0

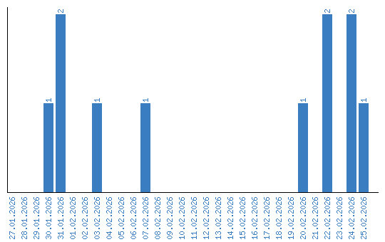
Динамика просмотров по датам