ФотобусАвтобусный транспорт

Информация об изображении

280 КБ


Идентификатор изображения:2178231
Размер файла:280 КБ
Автор:266-60
Опубликовано:26.04.2019 11:20 MSK
Находится на сайте, дней:2435
Уникальных просмотров:556
Комментариев:0

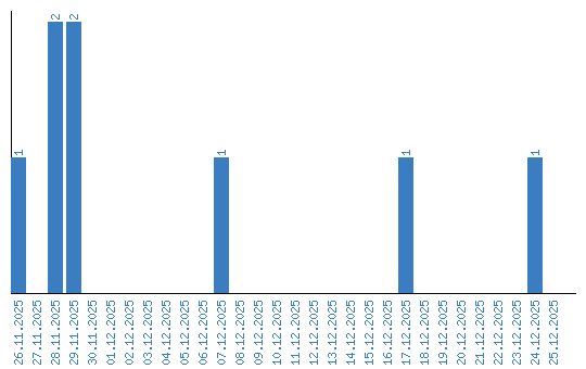
Динамика просмотров по датам