ФотобусАвтобустар галереясы

Информация об изображении

485 КБ


Идентификатор изображения:2195091
Размер файла:485 КБ
Автор:Overdose
Опубликовано:14.05.2019 19:01 MSK
Находится на сайте, дней:2516
Уникальных просмотров:470
Комментариев:0

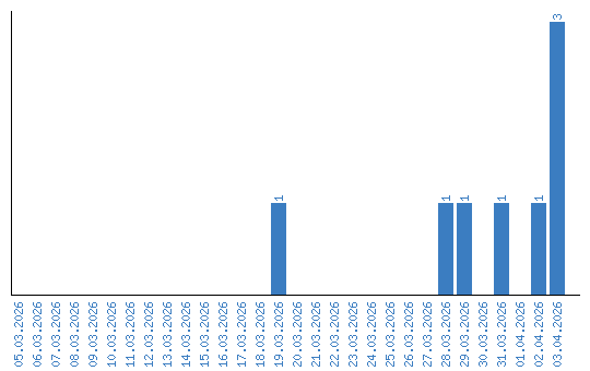
Динамика просмотров по датам