ФотобусАвтобусный транспорт

Информация об изображении

310 КБ


Идентификатор изображения:2215104
Размер файла:310 КБ
Автор:straightcelle
Опубликовано:11.06.2019 14:15 MSK
Находится на сайте, дней:2479
Уникальных просмотров:575
Комментариев:0

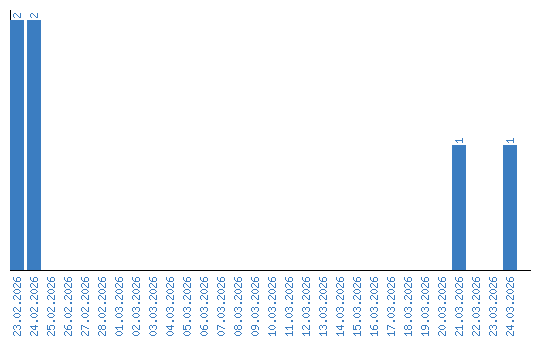
Динамика просмотров по датам