ФотобусАвтобусный транспорт

Информация об изображении

334 КБ


Идентификатор изображения:2215744
Размер файла:334 КБ
Автор:FootKos
Опубликовано:12.06.2019 16:50 MSK
Находится на сайте, дней:2411
Уникальных просмотров:250
Комментариев:0

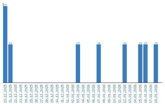
Динамика просмотров по датам