Datenbasis
Baureihen
Länder und Regionen
Sonstige Infos
Neuigkeiten / Chronik
Verschiedene Galerien
Links
Kommentare
Updates
Neue Fotos
Neuigkeiten
Alle Fotoaktualisierungen nach Datum
Hilfe
Nutzungsbedingungen und weitere Hinweise
Auswahlkriterien für die Fotos
Hinweise zu den Fotobeschriftungen
Ablehnungsgründe
Forum
Suche
Fotos suchen
Fahrzeuge suchen
Kommentare suchen
Mitglieder suchen
Anmelden
Registrieren
Deutsch
Русский
Беларуская
Українська
Қазақ тілі
Polski
Čeština
English
Español
Deutsch
Lietuvių
Latviešu
Magyar
Ελληνικά
Busverkehr
Bildinformationen
Foto-ID:
2229951
Dateigröße:
438 KB
Aufgenommen von:
IKARUS 250Lux
Veröffentlicht am:
02.07.2019 02:00 MSK
Tage seit Veröffentlichung:
2290
Aufrufe:
173
Kommentare:
0
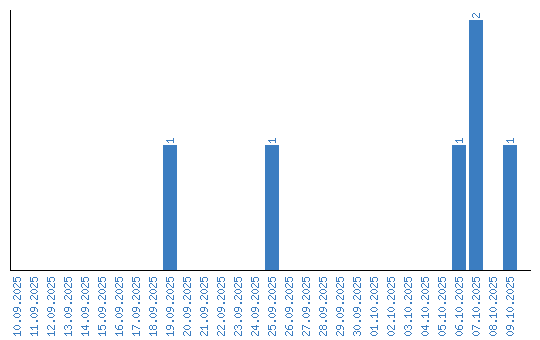
Aufrufestatistik (Tage)
Startseite
Forum
Nutzungsbedingungen
© Administration von Fotobus und FotoautorInnen, 2007—2025
Jegliche Nutzung der Fotos dieser Webseite ist ohne Zustimmung der AutorInnen nicht gestattet.