ФотобусАвтобусний транспорт

Статистика по зображенню

419 КБ


Ідентифікатор зображення:2230009
Розмір файлу:419 КБ
Автор:IKARUS 250Lux
Опубліковано:02.07.2019 08:50 MSK
Знаходиться на сайті, днів:2292
Унікальних переглядів:188
Коментарів:0

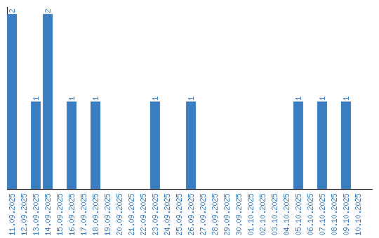
Динаміка переглядів за датами