ФотобусАвтобусний транспорт

Статистика по зображенню

402 КБ


Ідентифікатор зображення:2239134
Розмір файлу:402 КБ
Автор:beffan
Опубліковано:16.07.2019 14:39 MSK
Знаходиться на сайті, днів:2401
Унікальних переглядів:379
Коментарів:0

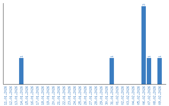
Динаміка переглядів за датами