ФотобусАвтобустар галереясы

Информация об изображении

298 КБ


Идентификатор изображения:2252952
Размер файла:298 КБ
Автор:Andrey Kaban
Опубликовано:04.08.2019 10:50 MSK
Находится на сайте, дней:2297
Уникальных просмотров:182
Комментариев:0

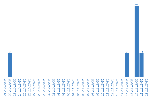
Динамика просмотров по датам