ФотобусАвтобусный транспорт

Информация об изображении

394 КБ


Идентификатор изображения:2253114
Размер файла:394 КБ
Автор:IKARUS 250Lux
Опубликовано:04.08.2019 13:50 MSK
Находится на сайте, дней:2257
Уникальных просмотров:187
Комментариев:0

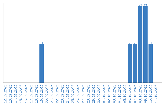
Динамика просмотров по датам