ФотобусАвтобустар галереясы

Информация об изображении

475 КБ


Идентификатор изображения:2259991
Размер файла:475 КБ
Автор:Дядя Андрей
Опубликовано:13.08.2019 23:43 MSK
Находится на сайте, дней:2392
Уникальных просмотров:513
Комментариев:0

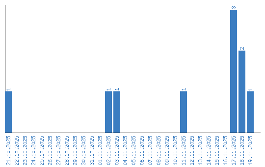
Динамика просмотров по датам