FotobusAutobusų transportas

Nuotraukos informacija

410 KB


Nuotraukos identifikatorius:2267727
Bylos dydis:410 KB
Autorius:alehandro
Publikuota:23.08.2019 23:48 MSK
Yra tinklapyje dienų:2372
Unikalių peržiūrų:435
Komentarų:2

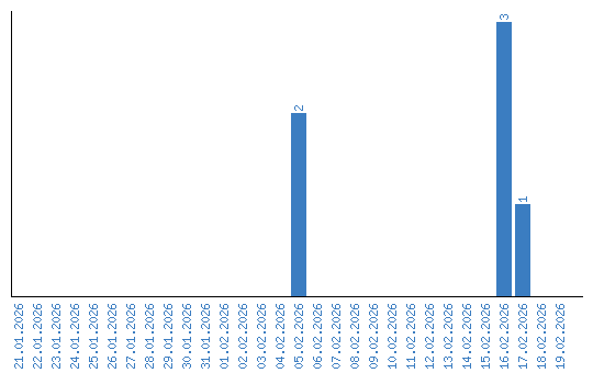
Peržiūrų dinamika pagal dienas