ФотобусАвтобусний транспорт

Статистика по зображенню

367 КБ


Ідентифікатор зображення:2280446
Розмір файлу:367 КБ
Автор:Alex_47
Опубліковано:10.09.2019 05:40 MSK
Знаходиться на сайті, днів:2396
Унікальних переглядів:617
Коментарів:0

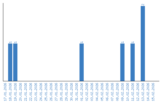
Динаміка переглядів за датами