FotobusΜεταφορά με λεωφορείο

Picture Statistics

316 KB


Picture ID:2317137
File Size:316 KB
Συγγραφέας:Robert Schwihlik
Publication Date:07.11.2019 23:18 MSK
Days in Database:2208
Unique views:329
Comments:0

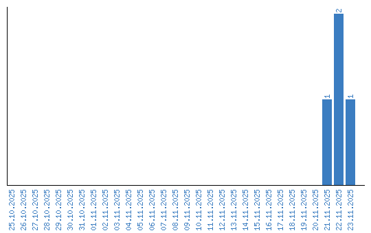
Viewing statistics by date