ФотобусАвтобусный транспорт

Информация об изображении

475 КБ


Идентификатор изображения:2391989
Размер файла:475 КБ
Автор:MurBus
Опубликовано:06.04.2020 21:27 MSK
Находится на сайте, дней:2031
Уникальных просмотров:254
Комментариев:0

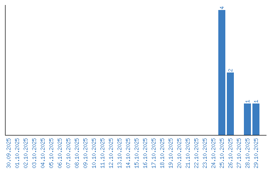
Динамика просмотров по датам