ФотобусАвтобусный транспорт

Информация об изображении

452 КБ


Идентификатор изображения:2428290
Размер файла:452 КБ
Автор:Miniautobusero
Опубликовано:07.06.2020 00:04 MSK
Находится на сайте, дней:2164
Уникальных просмотров:214
Комментариев:0

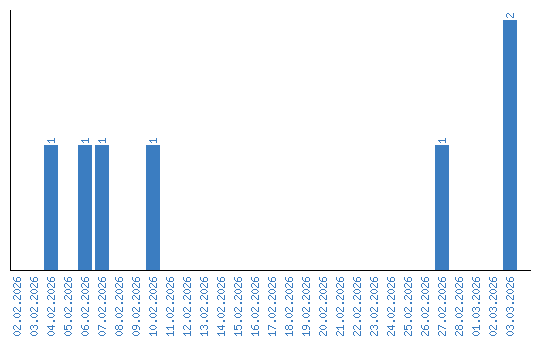
Динамика просмотров по датам