ФотобусАвтобусный транспорт

Информация об изображении

488 КБ


Идентификатор изображения:2460630
Размер файла:488 КБ
Автор:Дядя Андрей
Опубликовано:26.07.2020 19:33 MSK
Находится на сайте, дней:1997
Уникальных просмотров:424
Комментариев:0

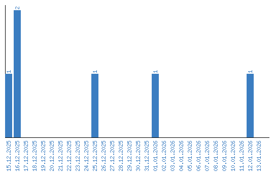
Динамика просмотров по датам