ФотобусАвтобусный транспорт

Информация об изображении

341 КБ


Идентификатор изображения:2492624
Размер файла:341 КБ
Автор:straightcelle
Опубликовано:14.09.2020 22:49 MSK
Находится на сайте, дней:2003
Уникальных просмотров:537
Комментариев:0

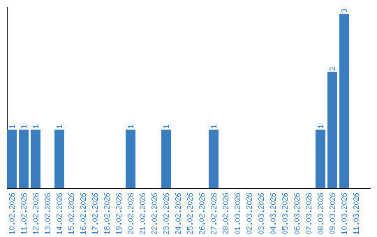
Динамика просмотров по датам