ФотобусАвтобусный транспорт

Информация об изображении

433 КБ


Идентификатор изображения:2608327
Размер файла:433 КБ
Автор:Mikey
Опубликовано:06.04.2021 11:06 MSK
Находится на сайте, дней:1823
Уникальных просмотров:385
Комментариев:0

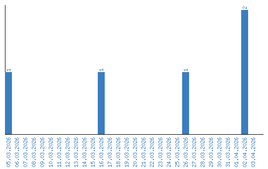
Динамика просмотров по датам