ФотобусАвтобусный транспорт

Информация об изображении

485 КБ


Идентификатор изображения:2634688
Размер файла:485 КБ
Прислал:Devotee
Опубликовано:15.05.2021 17:50 MSK
Находится на сайте, дней:1764
Уникальных просмотров:335
Комментариев:0

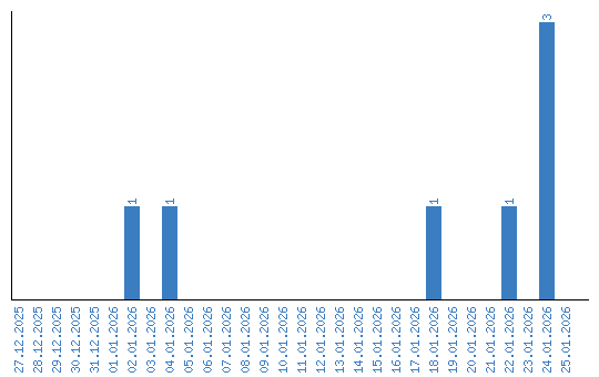
Динамика просмотров по датам