ФотобусАвтобусный транспорт

Информация об изображении

496 КБ


Идентификатор изображения:2638258
Размер файла:496 КБ
Автор:johnny
Опубликовано:21.05.2021 22:46 MSK
Находится на сайте, дней:1819
Уникальных просмотров:472
Комментариев:0

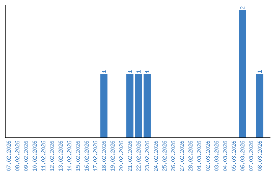
Динамика просмотров по датам