FotobusΜεταφορά με λεωφορείο

Picture Statistics

463 KB


Picture ID:2659694
File Size:463 KB
Συγγραφέας:the.traveller
Publication Date:19.06.2021 23:46 MSK
Days in Database:1616
Unique views:222
Comments:0

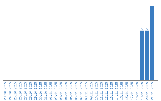
Viewing statistics by date