FotobusBusverkehr

Bildinformationen

374 KB


Foto-ID:2672199
Dateigröße:374 KB
Aufgenommen von:straightcelle
Veröffentlicht am:11.07.2021 21:16 MSK
Tage seit Veröffentlichung:1727
Aufrufe:220
Kommentare:0

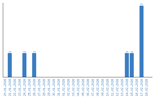
Aufrufestatistik (Tage)