ФотобусАвтобустар галереясы

Информация об изображении

499 КБ


Идентификатор изображения:2683418
Размер файла:499 КБ
Автор:Owanes Cherepowez
Опубликовано:28.07.2021 11:43 MSK
Находится на сайте, дней:1607
Уникальных просмотров:668
Комментариев:0

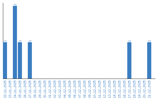
Динамика просмотров по датам