ФотабусАўтобусны транспарт

Iнфармацыя аб малюнку

326 КБ


Ідэнтыфікатар малюнка:2696346
Памер файла:326 КБ
Аўтар:ariss_ka
Апублікавана:15.08.2021 00:29 MSK
Знаходзіцца на сайце, дзён:1585
Унікальных праглядаў:150
Каментарыяў:0

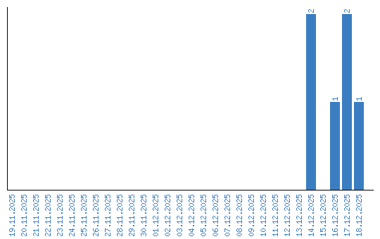
Дынаміка праглядаў па датах