ФотобусАвтобусний транспорт

Статистика по зображенню

208 КБ


Ідентифікатор зображення:2728722
Розмір файлу:208 КБ
Автор:Vovcikans
Опубліковано:27.09.2021 22:26 MSK
Знаходиться на сайті, днів:1691
Унікальних переглядів:483
Коментарів:0

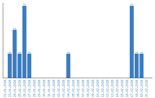
Динаміка переглядів за датами