ФотобусАвтобустар галереясы

Информация об изображении

443 КБ


Идентификатор изображения:2742434
Размер файла:443 КБ
Автор:SavA
Опубликовано:17.10.2021 16:36 MSK
Находится на сайте, дней:1529
Уникальных просмотров:371
Комментариев:0

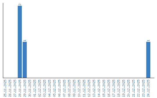
Динамика просмотров по датам