ФотобусАвтобусный транспорт

Информация об изображении

248 КБ


Идентификатор изображения:286724
Размер файла:248 КБ
Автор:Игорь
Опубликовано:23.06.2010 11:50 MSK
Находится на сайте, дней:5807
Уникальных просмотров:385
Комментариев:5

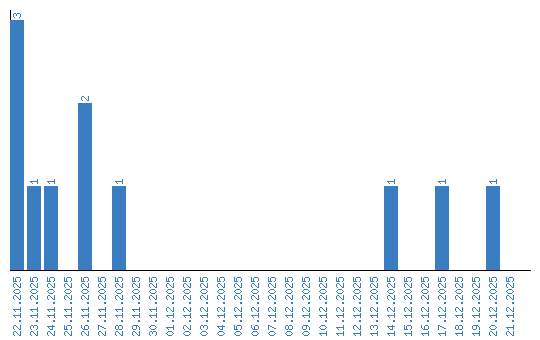
Динамика просмотров по датам