ФотобусАвтобусний транспорт

Статистика по зображенню

439 КБ


Ідентифікатор зображення:2891738
Розмір файлу:439 КБ
Автор:joukkoliikenne_8.6
Опубліковано:25.06.2022 08:03 MSK
Знаходиться на сайті, днів:1369
Унікальних переглядів:156
Коментарів:0

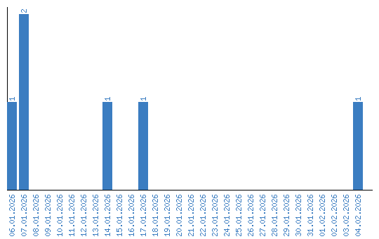
Динаміка переглядів за датами