FotobusΜεταφορά με λεωφορείο

Picture Statistics

246 KB


Picture ID:29020
File Size:246 KB
Συγγραφέας:Артем Ковалевский
Publication Date:19.06.2008 23:57 MSK
Days in Database:6314
Unique views:404
Comments:0

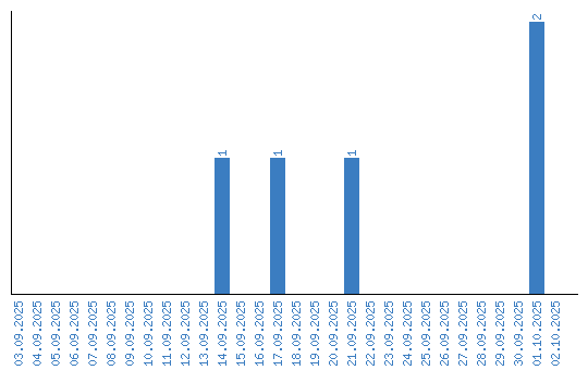
Viewing statistics by date