ФотабусАўтобусны транспарт

Iнфармацыя аб малюнку

525 КБ


Ідэнтыфікатар малюнка:2923465
Памер файла:525 КБ
Аўтар:Valius Kedainietis
Апублікавана:15.08.2022 20:08 MSK
Знаходзіцца на сайце, дзён:1271
Унікальных праглядаў:389
Каментарыяў:0

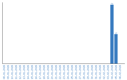
Дынаміка праглядаў па датах