ФотобусАвтобусный транспорт

Информация об изображении

488 КБ


Идентификатор изображения:2935402
Размер файла:488 КБ
Автор:Владислав Захаров
Опубликовано:06.09.2022 15:54 MSK
Находится на сайте, дней:1319
Уникальных просмотров:1021
Комментариев:13

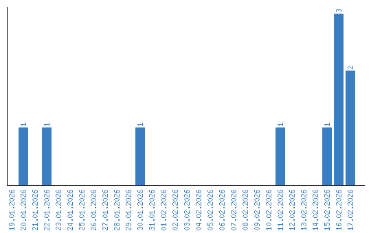
Динамика просмотров по датам