ФотобусАвтобусный транспорт

Информация об изображении

147 КБ


Идентификатор изображения:293786
Размер файла:147 КБ
Автор:ИА.
Опубликовано:07.07.2010 22:36 MSK
Находится на сайте, дней:5650
Уникальных просмотров:364
Комментариев:0

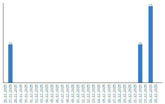
Динамика просмотров по датам