ФотобусАвтобустар галереясы

Информация об изображении

544 КБ


Идентификатор изображения:2944000
Размер файла:544 КБ
Автор:Rai
Опубликовано:22.09.2022 20:16 MSK
Находится на сайте, дней:1147
Уникальных просмотров:204
Комментариев:0

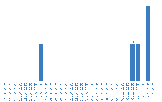
Динамика просмотров по датам