FotobusAutobusa transports

Informācija par attēli

491 KB


Attēla identifikātors:2979288
Faila lielums:491 KB
Autors:Гена555
Ir publicēts:05.12.2022 01:36 MSK
Atrodas vietnē, dienās:1215
Unikāli skatījumi:365
Komentārus:0

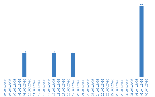
Dinamika skatišana pēc datuma