FotobusAutobusų transportas

Nuotraukos informacija

308 KB


Nuotraukos identifikatorius:3065742
Bylos dydis:308 KB
Autorius:Grünfläche
Publikuota:23.05.2023 19:30 MSK
Yra tinklapyje dienų:971
Unikalių peržiūrų:113
Komentarų:0

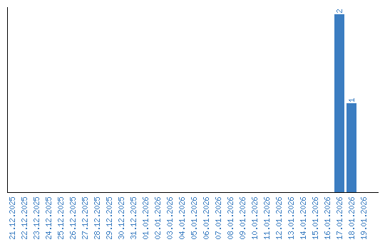
Peržiūrų dinamika pagal dienas