FotobusAutobusų transportas

Nuotraukos informacija

660 KB


Nuotraukos identifikatorius:3088979
Bylos dydis:660 KB
Autorius:Клауд
Publikuota:26.06.2023 12:51 MSK
Yra tinklapyje dienų:883
Unikalių peržiūrų:477
Komentarų:0

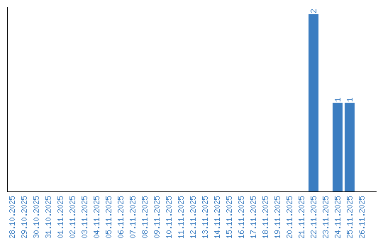
Peržiūrų dinamika pagal dienas