ФотобусАвтобусный транспорт

Информация об изображении

354 КБ


Идентификатор изображения:3108177
Размер файла:354 КБ
Автор:straightcelle
Опубликовано:29.07.2023 11:37 MSK
Находится на сайте, дней:1023
Уникальных просмотров:233
Комментариев:0

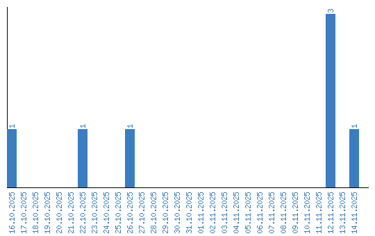
Динамика просмотров по датам