ФотобусАвтобусний транспорт

Статистика по зображенню

614 КБ


Ідентифікатор зображення:3111283
Розмір файлу:614 КБ
Автор:LTransit
Опубліковано:01.08.2023 16:11 MSK
Знаходиться на сайті, днів:875
Унікальних переглядів:273
Коментарів:0

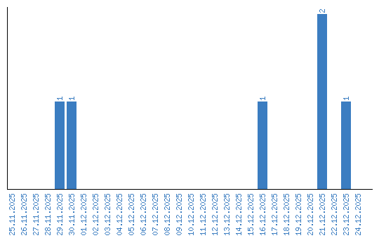
Динаміка переглядів за датами