ФотобусАвтобустар галереясы

Информация об изображении

544 КБ


Идентификатор изображения:3212186
Размер файла:544 КБ
Автор:Valius Kedainietis
Опубликовано:04.01.2024 14:21 MSK
Находится на сайте, дней:818
Уникальных просмотров:241
Комментариев:0

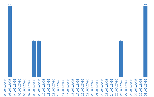
Динамика просмотров по датам