FotobusBusverkehr

Bildinformationen

256 KB


Foto-ID:3229326
Dateigröße:256 KB
Aufgenommen von:01-06
Veröffentlicht am:30.01.2024 02:26 MSK
Tage seit Veröffentlichung:735
Aufrufe:183
Kommentare:0

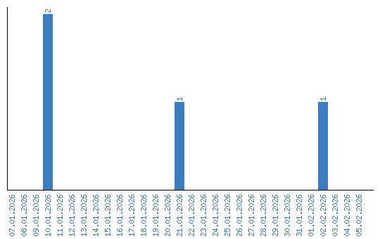
Aufrufestatistik (Tage)