ФотобусАвтобусный транспорт

Информация об изображении

442 КБ


Идентификатор изображения:3233383
Размер файла:442 КБ
Автор:straightcelle
Опубликовано:04.02.2024 12:40 MSK
Находится на сайте, дней:797
Уникальных просмотров:166
Комментариев:0

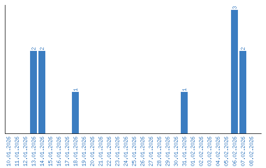
Динамика просмотров по датам