ФотобусАвтобусный транспорт

Информация об изображении

510 КБ


Идентификатор изображения:3238971
Размер файла:510 КБ
Автор:Nikita Yushkov
Опубликовано:11.02.2024 23:54 MSK
Находится на сайте, дней:733
Уникальных просмотров:229
Комментариев:0

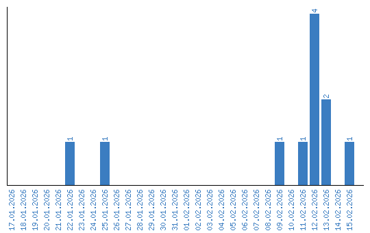
Динамика просмотров по датам