ФотобусАвтобусный транспорт

Информация об изображении

659 КБ


Идентификатор изображения:3344744
Размер файла:659 КБ
Автор:Иван С.
Опубликовано:11.07.2024 08:19 MSK
Находится на сайте, дней:462
Уникальных просмотров:154
Комментариев:0

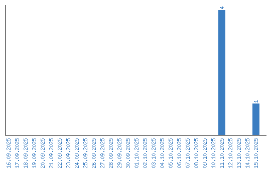
Динамика просмотров по датам