ФотобусАвтобусний транспорт

Статистика по зображенню

683 КБ


Ідентифікатор зображення:3389200
Розмір файлу:683 КБ
Автор:Pölsk1
Опубліковано:05.09.2024 23:48 MSK
Знаходиться на сайті, днів:522
Унікальних переглядів:368
Коментарів:0

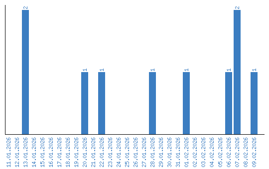
Динаміка переглядів за датами