ФотобусАвтобусный транспорт

Информация об изображении

605 КБ


Идентификатор изображения:3429720
Размер файла:605 КБ
Автор:Bimbula
Опубликовано:29.10.2024 16:26 MSK
Находится на сайте, дней:422
Уникальных просмотров:248
Комментариев:0

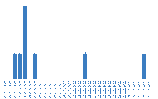
Динамика просмотров по датам