ФотабусАўтобусны транспарт

Iнфармацыя аб малюнку

9999 КБ


Ідэнтыфікатар малюнка:3432753
Памер файла:9999 КБ
Аўтар:PeterMHDVideos
Апублікавана:02.11.2024 17:44 MSK
Знаходзіцца на сайце, дзён:408
Унікальных праглядаў:198
Каментарыяў:0

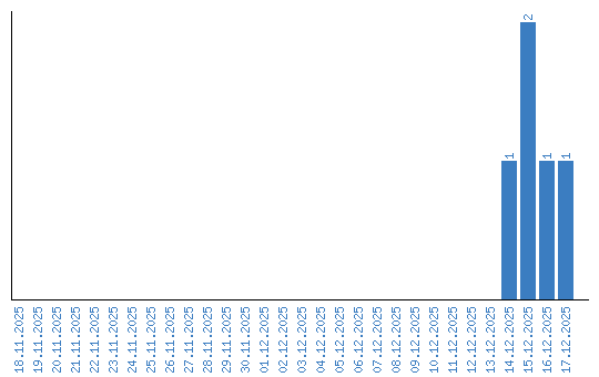
Дынаміка праглядаў па датах