ФотобусАвтобусный транспорт

Информация об изображении

557 КБ


Идентификатор изображения:3447588
Размер файла:557 КБ
Автор:olegp
Опубликовано:21.11.2024 20:50 MSK
Находится на сайте, дней:421
Уникальных просмотров:233
Комментариев:0

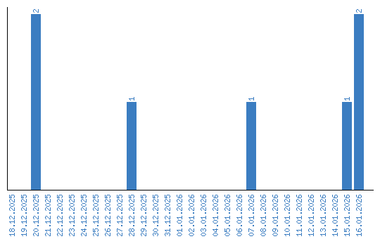
Динамика просмотров по датам