ФотобусАвтобусный транспорт

Информация об изображении

324 КБ


Идентификатор изображения:3509365
Размер файла:324 КБ
Автор:dielektrik
Опубликовано:20.02.2025 23:09 MSK
Находится на сайте, дней:269
Уникальных просмотров:189
Комментариев:0

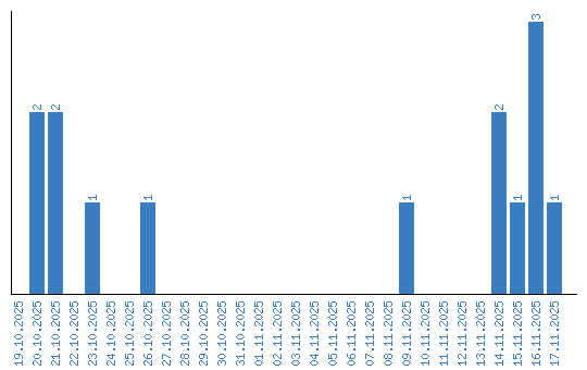
Динамика просмотров по датам